Ifrs Standards Deutsch
IFRS vs GAAP An Overview Systems of accounting, or accounting standards, are guidelines and regulations issued by governing bodies They dictate how a company records its finances, how it.
Ifrs standards deutsch. Viele übersetzte Beispielsätze mit "ifrs Standards" – DeutschEnglisch Wörterbuch und Suchmaschine für Millionen von DeutschÜbersetzungen. GAAP (US Generally Accepted Accounting Principles) is the accounting standard used in the US, while IFRS (International Financial Reporting Standards) is the accounting standard used in over 110 countries around the world GAAP is considered a more “rules based” system of accounting, while IFRS is more “principles based” The US Securities and Exchange Commission is looking to switch. In January 16, the IASB issued its final standard, IFRS 16, Leases, which supersedes the guidance in IAS 17 In February 16, the FASB issued Accounting Standards Update (ASU) No 1602, Leases (Topic 842) This ASU supersedes the guidance in Topic 840 and introduces a new Topic 842, Leases.
Transaction, as IFRS 15 may be seen as a reference The new IFRS 15 standard IFRS 15 applies to all contracts with customers, except for financial instruments, leasing and insurance contracts and except for contracts where the accounting is covered by other IFRS standards IFRS 15 has defined the following fivestep model 1. This IFRS in Focus addresses the proposed amendments to IAS 1 'Presentation of Financial Statements' and IFRS Practice Statement 2 'Making Materiality Judgements' set out in Exposure Draft ED/19/6 'Disclosure of Accounting Policies (Proposed amendments to IAS 1 and IFRS Practice Statement 2)' published by the International Accounting Standards Board in August 19. Facing COVID19 challenges In , nothing in the world was left untouched by the effects of COVID19, including the standardsetting agenda After more than five years of unprecedented accounting change under both IFRS Standards and US GAAP, timelines were extended and the International Accounting Standards Board and the FASB provided targeted guidance offering some accounting relief.
International Financial Reporting Standards (IFRS) 14 DeutschEnglische Textausgabe der von der EU Standards (International Financial Reporting Standards (IFRS) DeutscheEnglische) () on Amazoncom *FREE* shipping on qualifying offers. Listing of International Financial Reporting Standards International Financial Reporting Standards are developed by the International Accounting Standards Board Access to IFRS technical summaries and unaccompanied standards (the core standards, excluding content such as basis for conclusions) is available for free from the IASB website. In January 16, the IASB issued its final standard, IFRS 16, Leases, which supersedes the guidance in IAS 17 In February 16, the FASB issued Accounting Standards Update (ASU) No 1602, Leases (Topic 842) This ASU supersedes the guidance in Topic 840 and introduces a new Topic 842, Leases.
The International Financial Reporting Standards Foundation is a notforprofit corporation incorporated in the State of Delaware, United States of America, with the Delaware Division of Companies (file no ), and is registered as an overseas company in England and Wales (reg no FC). IFRS 17 is an International Financial Reporting Standard that was issued by the International Accounting Standards Board in May 17 It will replace IFRS 4 on accounting for insurance contracts and has an effective date of 1 January 23. The IFRS ® Foundation is a notforprofit international organisation responsible for developing a single set of highquality global accounting standards, known as IFRS Standards Our mission is to develop standards that bring transparency, accountability and efficiency to financial markets around the world Our work serves the public interest by fostering trust, growth and longterm.
Your essential guides to financial statements Our Guides to financial statements help you to prepare financial statements in accordance with IFRS StandardsThey have three components Illustrative disclosures, which illustrate one possible format for financial statements, based on a fictitious multinational corporation;. IFRS in Focus — COVID19 and financial reporting under IFRS Standards Published on 16 Jun In the light of the ongoing COVID19 pandemic, financial reporting for the first half of has been extremely challenging. Welcome to EYcom In addition to cookies that are strictly necessary to operate this website, we use the following types of cookies to improve your experience and our services Functional cookies to enhance your experience (eg remember settings), Performance cookies to measure the website's performance and improve your experience, Advertising/Targeting cookies, which are set by third.
International Financial Reporting Standards (IFRS) are used in more than 140 jurisdictions and are set by the International Accounting Standards Board EY’s Global IFRS team provides authoritative and timely thought leadership about IFRS The content is a mixture of insights and technical information, and supports audit committees, CFOs. However, IFRS include positions and guidance that can easily be considered as sets of rules instead of sets of principles At the time of the IFRS adoption, this led English observers to comment that international standards were really rulebased compared to UK GAAP that were much more principlebased. IFRS is short for International Financial Reporting Standards IFRS is the international accounting framework within which to properly organize and report financial informationIt is derived from the pronouncements of the Londonbased International Accounting Standards Board (IASB) It is currently the required accounting framework in more than 1 countries.
• Amendments to IFRS 3, ‘Business combinations’, Definition of a business • Amendments to IAS 1, ‘Presentation of financial statements’, and IAS 8, ‘Accounting policies, changes in accounting estimates and errors’, Definition of material This guide summarises the amendments plus those standards,amendments and. Transaction, as IFRS 15 may be seen as a reference The new IFRS 15 standard IFRS 15 applies to all contracts with customers, except for financial instruments, leasing and insurance contracts and except for contracts where the accounting is covered by other IFRS standards IFRS 15 has defined the following fivestep model 1. International Financial Reporting Standards, commonly called IFRS, are accounting standards issued by the IFRS Foundation and the International Accounting Standards Board (IASB) They constitute a standardised way of describing the company’s financial performance and position so that company financial statements are understandable and comparable across international boundaries.
International Financial Reporting Standards (IFRS Standards) 1 October 02 View the Standard The International Accounting Standards Board (the Board) was established in 01 and is the independent standardsetting body of the IFRS Foundation, an independent, private sector, notforprofit organisation working in the public interest Its. Applying IFRS for the real estate industry PwC 1 What is the focus of this publication?. The global convergence towards International Financial Reporting Standards (IFRS) continuously influences the development of German statutory accounting and reporting requirements (German GAAP) With this publication we hope to provide a broad understanding of the key similarities and differences between IFRS and German GAAP (revised).
The International Accounting Standards Board (Board) has proposed amendments to IFRS Standards to assist companies in providing useful information to investors about the effects of interest rate benchmark reform on financial statements The consultation document proposes amendments to the following Standards IFRS 9 Financial Instruments;. In 19, the latest IASB lease accounting standard, IFRS 16, began to go into effect for companies worldwide Among other requirements, IFRS 16 required that most leases be capitalized and recorded on the balance sheet, changed how they’re reported, and eliminated most operating (noncapitalized) leases. Transaction, as IFRS 15 may be seen as a reference The new IFRS 15 standard IFRS 15 applies to all contracts with customers, except for financial instruments, leasing and insurance contracts and except for contracts where the accounting is covered by other IFRS standards IFRS 15 has defined the following fivestep model 1.
The International Accounting Standards Board (IASB) is organised under an independent foundation named the IFRS Foundation The Foundation is a notforprofit corporation which was created under the laws of the State of Delaware, United States of America, on 8 March 01 The components of the overall structure of the IFRS Foundation are set out below. This publication considers the main accounting issues encountered by real estate entities and the practices adopted in the industry under International Financial Reporting Standards (IFRS) Who should use this publication?. Depreciation is a method by which a company displays the use of fixed assets on income statements IFRS depreciation methods include those most popular with all national accounting standards, namely straight line, declining balance, and units of production to name a few A few of the more important differences with IFRS depreciation methods are the estimates of useful life and residual value.
International Financial Reporting Standards (IFRS) is a set of accounting standards developed by an independent, notforprofit organization called the International Accounting Standards Board (IASB) The goal of IFRS is to provide a global framework for how public companies prepare and disclose their financial statements. NoteIFRS 9 (14) supersedes IFRS 9 (09), IFRS 9 (10) and IFRS 9 (13), but these standards remain available for application if the relevant date of initial application is before 1 February 15 Amendments regarding the interaction of IFRS 4 and IFRS 9;. IFRS standards are International Financial Reporting Standards (IFRS) that consist of a set of accounting rules that determine how transactions and other accounting events are required to be reported in financial statements They are designed to maintain credibility and transparency in the financial world, which enables investors and business operators to make informed financial decisions.
IFRS vs GAAP An Overview Systems of accounting, or accounting standards, are guidelines and regulations issued by governing bodies They dictate how a company records its finances, how it. Lernen Sie die Übersetzung für 'international standards reporting financial ifrs' in LEOs Englisch ⇔ Deutsch Wörterbuch Mit Flexionstabellen der verschiedenen Fälle und Zeiten Aussprache und relevante Diskussionen Kostenloser Vokabeltrainer. Technical resources on the International Financial Reporting Standards (IFRS) – get started now with practical guidance, latest thinking and tools Skip to the content EY Homepage Search Close search See all results in Search Page No results have been found Recent searches (container).
The Manual of Accounting IFRS is our collected insights on the application of International Financial Reporting Standards (IFRS), the financial reporting language of the global capital markets The global marketplace is a reality IFRS is now required or permitted in 157 countries around the world. International Financial Reporting Standards (Ifrs) Deutschenglische Textausgabe Der Von Der Eu Gebilligten Standards / English and German Edition of the Official Standards Approved by the Eu, Paperback by WileyVch, ISBN X, ISBN13 , Like New Used, Free shipping in the US. The IFRS ® Foundation is a notforprofit international organisation responsible for developing a single set of highquality global accounting standards, known as IFRS Standards Our mission is to develop standards that bring transparency, accountability and efficiency to financial markets around the world Our work serves the public interest by fostering trust, growth and longterm.
The International Financial Reporting Standards Foundation is a notforprofit corporation incorporated in the State of Delaware, United States of America, with the Delaware Division of Companies (file no ), and is registered as an overseas company in England and Wales (reg no FC). Nachfolgend finden Sie kostenlose pdfVersionen der von der EUKommission freigebenen IFRS („EUIFRS“) in der deutschen Sprachversion Die Zusammenstellungen sind dabei gestaffelt nach dem Jahr der verbindlichen Erstanwendung EUIFRS 21 (für Geschäftsjahre, die am oder nach dem beginnen), EUIFRS (für Geschäftsjahre, die am oder nach dem 0101 beginnen), EUIFRS. Global (Deutsch) Canada (English) IFRS 1 "Firsttime Adoption of International Financial Reporting Standards" sets out the procedures that an entity must follow when it adopts IFRS for the first time as the basis for preparing its general purpose financial statements The IFRS grants limited exemptions from the general requirement to comply.
International Financial Reporting Standards (Ifrs) Deutschenglische Textausgabe Der Von Der Eu Gebilligten Standards / English and German Edition of the Official Standards Approved by the Eu, Paperback by WileyVch, ISBN X, ISBN13 , Like New Used, Free shipping in the US. Lernen Sie die Übersetzung für 'international standards reporting financial ifrs' in LEOs Englisch ⇔ Deutsch Wörterbuch Mit Flexionstabellen der verschiedenen Fälle und Zeiten Aussprache und relevante Diskussionen Kostenloser Vokabeltrainer. The requirements of IFRS are discussed on the basis that the entity has adopted IFRS already The special transitional requirements that apply in the period in which an entity changes its GAAP to IFRS are discussed in our publication Insights into IFRS , KPMG’s practical guide to International Financial Reporting Standards.
This study describes the accounting standards being implemented in Turkey Uniform Accounting System and Uniform Chart of Accounts, Turkish Financial Reporting Standards (TFRS), and Financial Reporting Standards for Large and MediumSized Enterprises (FRS for LMEs) are simultaneously applied in Turkey TFRS are a direct translation of the International Financial Reporting Standards (IFRS). The International Financial Reporting Standards Foundation is a notforprofit corporation incorporated in the State of Delaware, United States of America, with the Delaware Division of Companies (file no ), and is registered as an overseas company in England and Wales (reg no FC). Erstmalige Anwendung der International Financial Reporting Standards IFRS 2 Anteilsbasierte Vergütungen IFRS 3 Unternehmenszusammenschlüsse IFRS 4 Versicherungsverträge IFRS 5 Zur Veräußerung gehaltene langfristige Vermögenswerte und aufgegebene Geschäftsbereiche IFRS 6 Exploration und Evaluierung von mineralischen Ressourcen IFRS 7.
See under IFRS 4. International Financial Reporting Standards, commonly called IFRS, are accounting standards issued by the IFRS Foundation and the International Accounting Standards Board They constitute a standardised way of describing the company’s financial performance and position so that company financial statements are understandable and comparable across international boundaries They are particularly relevant for companies with shares or securities listed on a public stock exchange IFRS have. International Financial Reporting Standards IFRS International Financial Reporting Standards (IFRS) are a set of international accounting standards stating how particular types of transactions.
IFRS 1 — Firsttime Adoption of International Financial Reporting Standards 24 Nov 08 01 Jul 09 IFRS 2 — Sharebased Payment 19 Feb 04 01 Jan 05 IFRS 3 — Business Combinations 10 Jan 08 01 Jul 09 IFRS 4 — Insurance Contracts 31 Mar 04 01 Jan 05 IFRS 5 — Noncurrent Assets Held for Sale and Discontinued. IFRS is short for International Financial Reporting Standards IFRS is the international accounting framework within which to properly organize and report financial informationIt is derived from the pronouncements of the Londonbased International Accounting Standards Board (IASB) It is currently the required accounting framework in more than 1 countries. Nachfolgend finden Sie kostenlose pdfVersionen der von der EUKommission freigebenen IFRS („EUIFRS“) in der deutschen Sprachversion Die Zusammenstellungen sind dabei gestaffelt nach dem Jahr der verbindlichen Erstanwendung EUIFRS 21 (für Geschäftsjahre, die am oder nach dem beginnen), EUIFRS (für Geschäftsjahre, die am oder nach dem 0101 beginnen), EUIFRS.
In this video, on IFRS vs US GAAP we are going to look at definition and top differences between IFRS vs US GAAP𝐖𝐡𝐚𝐭 𝐢𝐬 𝐆𝐀𝐀𝐏?. Your essential guides to financial statements Our Guides to financial statements help you to prepare financial statements in accordance with IFRS StandardsThey have three components Illustrative disclosures, which illustrate one possible format for financial statements, based on a fictitious multinational corporation;. The IASB has the authority to set IFRS and to approve interpretations of those standards IFRS is intended to be applied by profitorientated entities These entities' financial statements give information about performance, position and cash flow that is useful to a range of users in making financial decisions These.
COVID19 supplement, which illustrates additional disclosures that. The growing acceptance of International Financial Reporting Standards (IFRS) as a basis for US financial reporting represents a fundamental change for the US accounting profession The number of countries that require or allow the use of IFRS for the preparation of financial statements by publicly held companies has continued to increase In. We are pleased to present A Roadmap to Comparing IFRS Standards and US GAAP Bridging the Differences, which explores some of the key differences between IFRS ® Standards and US GAAP effective as of January 1, 21, for public business entities that have a calendaryear annual reporting period Over the years, these differences have decreased for some topics but have increased for others.
The IASB has the authority to set IFRS and to approve interpretations of those standards IFRS is intended to be applied by profitorientated entities These entities' financial statements give information about performance, position and cash flow that is useful to a range of users in making financial decisions These. Technical resources on the International Financial Reporting Standards (IFRS) – get started now with practical guidance, latest thinking and tools Skip to the content EY Homepage Search Close search See all results in Search Page No results have been found Recent searches (container). COVID19 supplement, which illustrates additional disclosures that.
The growing acceptance of International Financial Reporting Standards (IFRS) as a basis for US financial reporting represents a fundamental change for the US accounting profession The number of countries that require or allow the use of IFRS for the preparation of financial statements by publicly held companies has continued to increase In. International Financial Reporting Standards (IFRS Standards) 1 October 02 View the Standard The International Accounting Standards Board (the Board) was established in 01 and is the independent standardsetting body of the IFRS Foundation, an independent, private sector, notforprofit organisation working in the public interest Its.

Ifrs Publication

Deutsche Rechnungslegungs Standards Drs German Accounting Standards Gas Drsc Interpretationen Ifrs Ascg Interpretations Ifrs Drsc Anwendungshinweise Ascg Implementation Guidance 2 Ordner Pflichtabnahme Abebooks
Iasb Verlautbarungen
Ifrs Standards Deutsch のギャラリー
1
2

Iasb International Accounting Standards Board
Part I International Financial Reporting Standards Ifrs Deloitte Cfr

International Accounting Standards High Resolution Stock Photography And Images Alamy

Ifrs Foundation Ifrsfoundation Twitter

Ifrs Uniform Accounting Through Globalization Teamdrive Secure Collaboration

Overview Of The Structure Of The Ifrs Foundation And Iasb

Bol Com International Financial Reporting Standards Ifrs Wiley Vch

Ifrs International Financial Reporting Standards Deloitte United Kingdom

Ifrs Standards And Interpretations As Adopted By The Eu
Ifrs 16 Planon

International Accounting

Financial Accounting Standards Board Vs International Accounting Stan

International Financial Reporting Standards Ifrs 18 Wiley Vch Amazon De Bucher
2

International Financial Reporting Standards Ifrs

Insights Into Ifrs Our Latest Thinking Kpmg Global
Read Ifrs Simplified A Fast And Easy To Understand Overview Of The New International Financial Reporting Standards Online By Mike Morley Books

Ias Plus

Project On Ifrs

Ifrs Foundation Ifrs View Our New Interactive Map To Discover More About The Use Of Ifrs Standards Around The World T Co glzqjuv9 T Co 3z9qymftp5

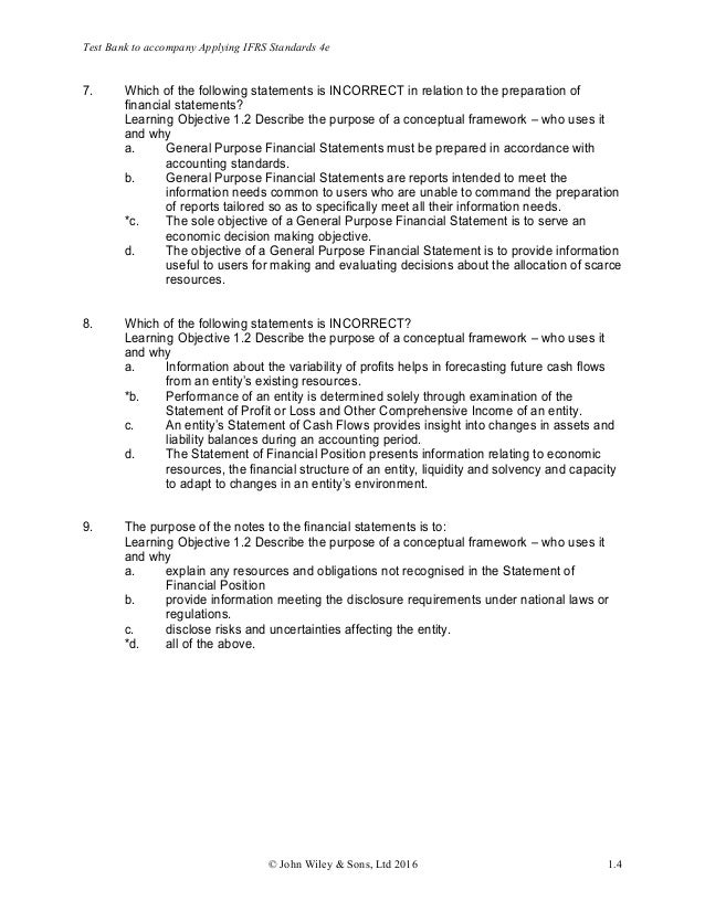
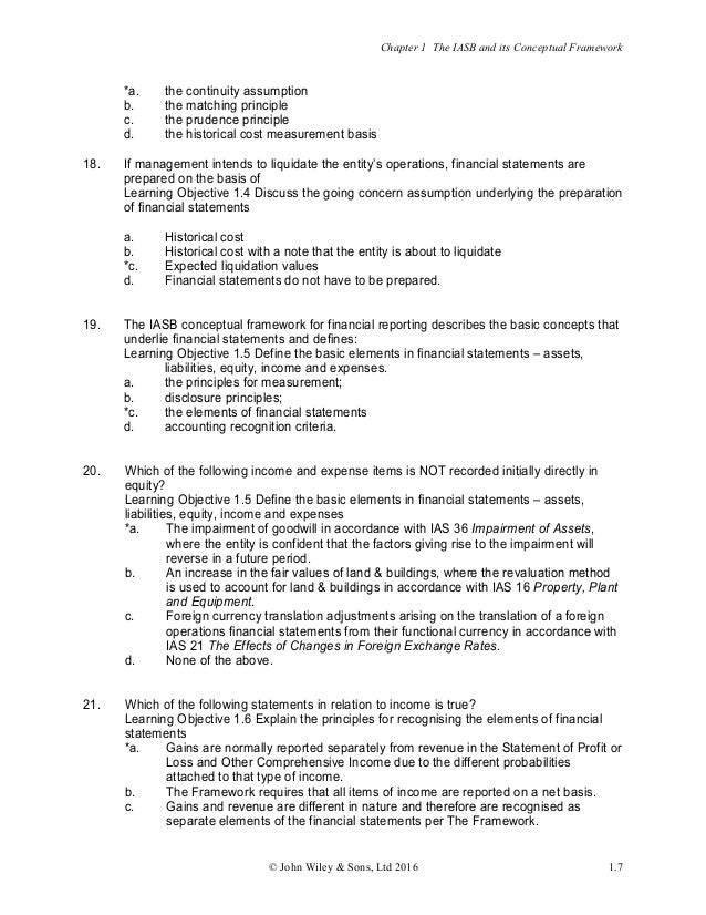
Applying Ifrs Standards 4th Edition Picker Test Bank
Q Tbn And9gctfveyuub5qzngzl3ogu0n4p48oraaswg Xexnwrmqkgi6r29gr Usqp Cau

International Financial Reporting Standards Ifrs Accounting
Download Full Solution Manual Applying International Financial Reporting Standards 3nd Edition By Ruth Picker Slw1019 Share Repurchase Dividend

Ifrs Foundation Ifrsfoundation Twitter

International Financial Reporting Standards Ifrs Idw Textausgabe Einschliesslich International Accounting Standards Ias Und Interpretationen Die Englisch Deutsch Stand 1 Dezember 17 Amazon Com Books

Notes To The Consolidated Financial Statements Puma Annual Report 17 Forever Faster Puma

Ifrs International Financial Reporting Standards Stock Photo C Yuriy2design

Kindle International Financial Reporting Standards Ifrs 10 Inte
Ifrs
International Accounting Standards Board Iasb

Ifrs International Financial Reporting Standards Audit Deloitte Nederland

Moody S Offers Riskintegrity Ifrs 17 Software For Insurers Preparing For Reporting Standards The Digital Insurer

Insights Into Ifrs Our Latest Thinking Kpmg Global

Bol Com International Financial Reporting Standards Ifrs Wiley Vch Boeken

Ifrs Foundation Ifrsfoundation Twitter

Ifrs Developments Issue 160 Ibor Reform Continued Ey Global

Ifrs 17 Transition To Ifrs 17 Overview Part 1 Of 2 Youtube
International Accounting Standards Board Iasb

Deutsche Rechnungslegungs Standards Loseblattwerk Datenbank Schaffer Poeschel Shop

International Financial Reporting Standards Wulf Inge Jermakowicz Buch Gebraucht Kaufen A02gtoio01zz8

Ifrs 1 Ias 1 International Financial Reporting Standard 1 International Accounting Course Youtube

Accounting Indian Standards International Ifrs

International Financial Reporting Standards Ifrs Worterbuch Englisch Deutsch Deutsch Englisch Buch

Applying Ifrs Standards 4th Edition Picker Test Bank

Applying Ifrs Standards 4th Edition Picker Test Bank

Ifrs Foundation Ifrsfoundation Twitter

Kindle International Financial Reporting Standards Ifrs 10 Inte

Bol Com International Financial Reporting Standards Ifrs Wiley Vch

Deutsche Rechnungslegungs Standards

International Financial Reporting Standards Ifrs Als Eu Weite Rechnungslegungsnormen German Edition Doan Thi Hai Anh Amazon Com Books

Ann Tarca Tarca Ann Twitter

International Financial Reporting Standards Ifrs Deutsch Englische Textausgabe Der Von Der Eu Gebilligten Standards English And German Edition Of The Official Standards Approved By The Eu By Wiley Vch Booktopia
Institut Der Wirtschaftsprufer International Financial Reporting Standards Ifrs 12 Auflage 19 Beck Shop De

Bol Com International Financial Reporting Standards Ifrs Boeken

Download Pdf International Financial Reporting Standards Ifrs 17 11e Deutsch Englische Textausgabe Der Von Dereu Gebilligten Standards English German Standards Ifrs Deutsche Englische For Ipad Pages 1 2 Text Version Anyflip

Download Pdf International Financial Reporting Standards Ifrs 17 11e Deutsch Englische Textausgabe Der Von Dereu Gebilligten Standards English German Standards Ifrs Deutsche Englische For Ipad Pages 1 2 Text Version Anyflip

Ifrs Standards Ifrs Round Table
International Financial Reporting Standards Ifrs 9 Linkedin

Pdf The Globalization Of Accounting Standards Ifrs Vs Us Gaap
Ifrs Foundation Linkedin

International Financial Reporting Standards Wikipedia

Ifrs International Financial Reporting Standards Audit Deloitte Nederland

International Financial Reporting Standards Ifrs And Ifric Interpretations
Q Tbn And9gcq12cd6urp9pbr2tufgpmbc5ieozduo3bg9ophb Cryljrkazeg Usqp Cau

International Accounting Standards Board

International Accounting Standards Images Stock Photos Vectors Shutterstock

Ifrs In Your Pocket 19 Docsity

Pdf Equivalence Of Ifrs Across Languages Translation Issues From English To German

International Financial Reporting Standards Ifrs Wiley Vch Amazon De Bucher

Ifrs Accounting Standards

Ifrs Standards Ifrs Round Table

International Financial Reporting Standards Ifrs Buch Versandkostenfrei Bei Weltbild Ch Bestellen

Ifrs Technical Resources Ey Global

Ifrs Kennzahlen In Deutsch Und Englisch

Basis For Conclusions International Financial Reporting Standard Jan

International Financial Reporting Standards Ifrs Deutsch 13 Offizielle Verlautbarungen Zum 1 Januar 13 Enthalt Auch Ifrs Die Nach Dem 1 Die Ifrs Die Durch Sie Ersetzt Werden Amazon De International Accounting Standards Board Iasb

Ifrs

International Financial Reporting Standards Wikipedia

Isbn International Financial Reporting Standards Ifrs 15 Deutsch Englische Textausgabe Der Von Der Eu Gebilligten Standards English German Edition Of The Official Standards Approved By The Eu Neu Gebraucht Kaufen

International Financial Reporting Standards Ifrs Deutsch 12 Offizielle Verlautbarungen Zum 1 Januar 12 Enthalt Auch Ifrs Die Nach Dem 1 Nicht Die Ifrs Die Durch Sie Ersetzt Werden Amazon De International Accounting

Ifrs International Financial Reporting Standards Concept With Keywords Letters And Icons Flat Vector Illustration Stock Vector Illustration Of Office Global

International Financial Reporting Standards Ifrs Wiley Vch Amazon De Bucher

Ifrs Red Book Complete Ifrs Standards Docsity

Webinar Implementation Ifrs 16 Leasing Deutsche Telekom
Q Tbn And9gcrupeb1h0lxg0kgjbnu3gjnhnvcirngp Fkzgwa6lmspouoxusa Usqp Cau

Applying Ifrs Standards 4th Edition Picker Test Bank

International Financial Reporting Standards Wulf Inge Jermakowicz Buch Gebraucht Kaufen A02gtoio01zz8

Ifrs

Ifrs International Financial Reporting Standards Baumann Finance

3qmvly514a4dxm

International Financial Reporting Standards Foundation Wikipedia

Ifrs

International Financial Reporting Standards Ifrs Schulthess Buchhandlungen Kommentare Repetitorien Fachinformationen

Accounting Standards High Res Stock Images Shutterstock

International Accounting Standards High Resolution Stock Photography And Images Alamy
Int Financial Reporting Standards Ifrs Idw Gebraucht In Dusseldorf Bezirk 1 Ebay Kleinanzeigen

Top 6 Best International Financial Reporting Standard Ifr Why We Like This Us

Ifrs Grundlagen Internationaler Rechnungslegung