Lease Contract Sample Philippines
SAMPLE LEASE CONTRACT FOR COM MERCIAL UNIT 1 PARTIES This Contract is between Name of Lessor (“ LESSOR ”) and Name of Lessee , of legal age, Filipino, single/married, with postal address at State the complete address of Lessee (“ LESSEE ”) LESSEE agrees to rent the Unit for use as Insert here purpose (example sales office, restaurant, etc) only.
Lease contract sample philippines. Jan 12, 21 simple house rental contract sample philippines Google Search Jan 12, 21 simple house rental contract sample philippines Google Search Want Sample of 11 months rental agreement format?. Philippines Pledge Agreement There is a default under the Philippines Pledge Agreement that continues beyond any stated grace or cure period. Master Lease 71 Sublessor is the lessee of the premises by virtue of a lease, hereinafter referred to as the “Master Lease”, a copy of which is attached hereto marked Exhibit 1 Dated _____, ___ wherein _____ is the lessor, hereinafter referred to as the “Master Lessor”.
Sample Land Lease Agreement The sample land lease agreement below details an agreement between the landlord, ‘Gary E Chapell’ and the tenant, ‘Marjorie H Calhoun’ Gary E Chapell agrees to lease the site to Marjorie H Calhoun for the purpose of operating and managing a multifamily residential apartment complex. The Civil Code of the Philippines governs the law on contracts and lease Additionally, Republic Act No 9653 (the "Rent Control Act") as extended by the Housing and Urban Development Coordinating Council Resolution No 1 Series of 17 ("HUDCC Resolution No 1") governs lease contracts that fall under the following conditions 1. The downloadable contract of lease sample provided below can be used as a legally binding contract of lease, regardless of the property type Download Lease Contract Tips to keep in mind Check your prospective tenants credit history Meet the applicants before signing a contract of lease Be thorough with documentation Check the property.
Or Just a Simple residential lease agreement forms template to print or download?. Cell tower lease agreements are unlike any residential, or commercial lease agreement This is due to the very specific use of a cell tower, also known as an unmanned wireless communications facility A Cell tower lease agreement is typically presented by the tenant, not the landlord. Free Legal Forms & Contracts Philippine Legal Forms is the site to find the basic formats of standard and frequently used legal forms, contracts and agreements in the Philippines eg the Deed of Sale All Philippine legal forms and contracts on this website are free for site visitors to copy and revise for personal use.
“Sample LeasePurchase Developer Agreement,” “Sample LeasePurchase Financial Pro Forma,” and “Guidance on Lease Purchase Qualification Criteria” How to Adapt this Document This document provides an example of a residential lease with an option to purchase, and is not intended to be used asis NSP. SAMPLE LEASE CONTRACT FOR APARTMENT OR CONDOMINIUM UNIT 1 PARTIES This Contract is between Name of Lessor (“ LESSOR ”) and Name of Lessee , of legal age, Filipino, single/married, with postal address at State the complete address of Lessee (“ LESSEE ”) LESSEE agrees to rent the apartment for use as a private residence only. HOW TO CUSTOMIZE THE TEMPLATE Use the form on the left to fill in the template The document is written according to your responses clauses are added or removed, paragraphs are customised, words are changed, etc At the end, you will immediately receive the document in Word and PDF formats You can then open the Word document to modify it and reuse it however you wish.
CONTRACT OF LEASE KNOW ALL MEN BY THESE PRESENTS This CONTRACT OF LEASE(the “Contract”), made and entered into on January 7, 10 at Manila, Philippines, by andbetween ROBINSONS LAND CORPORATION,a corporation duly organized and existing under and byvirtue of the laws of the Republic of the Philippines, with office address at the 25thFloor, RobinsonsEquitable Tower, ADB Avenue corner Poveda Street, Ortigas Center, Pasig City, represented herein by its Vice President and Treasurer. REPUBLIC OF THE PHILIPPINES PROVINCE OF PANGASINAN CITY OF ALAMINOS oOo CONTRACT OF LEASE KNOW ALL MEN BY THESE PRESENTS This CONTRACT OF LEASE made and entered into this _____ day of _____0__ at Alaminos, Pangasinan, by and between the City of Alaminos, Pangasinan, represented by HON. Lease Contract Agreement Sample Philippines 7 PUBLIC UTILITIES Lessee pays for the duration of the lease for telephone, electricity, cable television, water, Internet, association fees and other utilities and utilities 9 LESSOR`S RIGHT OF ENTRY The LESSOR or its authorized representative has the right to enter the premises in the presence.
Created Date 1/8/13 AM. Just like any agreement between buyers and sellers, a contract will be secured to make sure that both parties have understood what they have entered into RENT TO OWN CONTRACT This Contract of Lease with Option to Purchase (RenttoOwn Contract) made and executed this ____of _____ ___ Manila, Philippines by and between. House Rental Contract KNOWN ALL MEN BY THESE PRESENTS This House Rental Contract, made and entered into this th day of May 07 at Manila by and between Antonio Levy S Ingles, Jr and/or Mary Rose C Ingles, of legal age, with residence and postal address at Unit 06 EGI Taft Tower 2339 Taft Avenue, Malate, Manila, And herein referred to as the Owner(s),.
HOW TO CUSTOMIZE THE TEMPLATE Use the form on the left to fill in the template The document is written according to your responses clauses are added or removed, paragraphs are customised, words are changed, etc At the end, you will immediately receive the document in Word and PDF formats You can then open the Word document to modify it and reuse it however you wish. 31 Contract Examples in PDF;. DEPOSIT That the LESSEE shall deposit to the LESSOR upon signing of this contract and prior to movein an amount equivalent to the rent for THREE (3) MONTHS or the sum of PESOS AMOUNT IN WORDS (P 00,), Philippine Currency wherein the two (2) months deposit shall be applied as rent for the 11th and 12th months and the remaining one (1.
DEPOSIT That the LESSEE shall remit to the LESSOR upon signing of this contract and prior to movein an amount equivalent to the rent of FOUR (4) MONTHS or the sum of PESOS AMOUNT IN WORDS (P 00,), Philippine Currency, wherein two (2) months shall be applied as rent for the 11th and 12th months and two (2) months shall be as a deposit to answer partially for damages and any other obligations, for utilities such as Water, Electricity, CATV, Telephone, Association Dues or resulting. This shareholder agreement template is the perfect sample of how to outline how corporate shareholders will work with each other Joint Custody Agreement Template Use this standard joint custody agreement template to outline the key conditions of this most important aspect of a divorce Just remember that custody and divorce laws vary by. The following terms and conditions shall apply to this Parking Space Lease Agreement (“Agreement”) Terms and Conditions 1 Items Left in Vehicle Lessor shall not be responsible for damage or loss to possessions or items left in Lessee’s vehicle 2 Damage to Vehicle.
Lease Contract Agreement Sample Philippines 7 PUBLIC UTILITIES Lessee pays for the duration of the lease for telephone, electricity, cable television, water, Internet, association fees and other utilities and utilities 9 LESSOR`S RIGHT OF ENTRY The LESSOR or its authorized representative has the right to enter the premises in the presence. Contract of Renovation/Construction of a House or Building;. _____, a corporation duly organized and existing under the laws of the Republic of the Philippines, with office address at_____, represented in this act by its.
Last Will and Testament;. SUBLEASE CONTRACT KNOWN ALL MEN BY THESE PRESENTS This agreement is made and entered into by and between a corporation duly organized and existing under the laws of the Philippines, with office address at represented in this act by its President, hereinafter referred to as SUBLESSOR And PRODUCTS a company duly organized and existing under the laws of the Philippines, represented in this. Word document, PDF Lease Agreement Free.
Or Just a Simple residential lease agreement forms template to print or download?. REPUBLIC OF THE PHILIPPINES PROVINCE OF PANGASINAN CITY OF ALAMINOS oOo CONTRACT OF LEASE KNOW ALL MEN BY THESE PRESENTS This CONTRACT OF LEASE made and entered into this _____ day of _____0__ at Alaminos, Pangasinan, by and between the City of Alaminos, Pangasinan, represented by HON. Land Lease Agreement Sample Philippines December 11, carlobernardini@gmailcom This form is also known as a rental agreement, housing lease, lease, lease, lease, lease, landlord, landlord 1 Purpose That premises leased here and about may be used exclusively for residential purposes by LESSEE and cannot be used for other purposes It is.
This Lease Contract may not be terminated during the lease period In the event the LESSEE terminates the Contract after 6 months and decides to move out of the unit with 30 days’ notice, the 1month deposit shall be forfeited in favor of the LESSOR and 1month deposit shall be refunded to the LESSEE. Sample of basic Philippine Legal Forms including forms in litigations, corporate legal forms, forms needed before administrative bodies, etc Custom Search Saturday, October 17, 09 CONTRACT OF LEASE (motor vehicle) KNOW ALL MEN BY THESE PRESENTS This contract made and executed by and between (Insert name of lessor), of legal age, Filipino. Deemed part of this rental agreement, and a violation of any of the house rules is considered a breach of this agreement 16 CHANGE OF TERMS The terms and conditions of this agreement are subject to future change by OWNER after the expiration of the agreed lease period upon 30day written notice setting forth such change and delivered to.
Jan 12, 21 simple house rental contract sample philippines Google Search Jan 12, 21 simple house rental contract sample philippines Google Search Want Sample of 11 months rental agreement format?. A lease contract, like a rental contract, outlines the agreement between a property owner and a person that wants to lease the property A property management contract might also come in handy in terms of completing this type of agreement samplesThis is to safeguard the management operations of properties intended for lease contract. Lease Contract Agreement Sample Philippines 7 PUBLIC UTILITIES Lessee pays for the duration of the lease for telephone, electricity, cable television, water, Internet, association fees and other utilities and utilities 9.
Contract of Lease This Contract of Lease dated _____ (the “Contract”) by and between _____, a corporation duly organized and existing under Philippine laws, with principal business address located at 2nd Floor Alvion Centre, 110 Thailand (Rada) Street, Legaspi Village, Makati City represented by its Authorized Representative, _____, and hereinafter referred to as the “LESSOR”,. Please revise the terms and conditions contained on this RenttoOwn Contract to reflect the parties actual terms and conditions RENT TO OWN CONTRACT This Contract of Lease with Option to Purchase (RenttoOwn Contract) made and executed this ____of _____ ___ Manila, Philippines by and between. This Lease Contract may not be terminated during the lease period In the event the LESSEE terminates the Contract after 6 months and decides to move out of the unit with 30 days’ notice, the 1month deposit shall be forfeited in favor of the LESSOR and 1month deposit shall be refunded to the LESSEE.
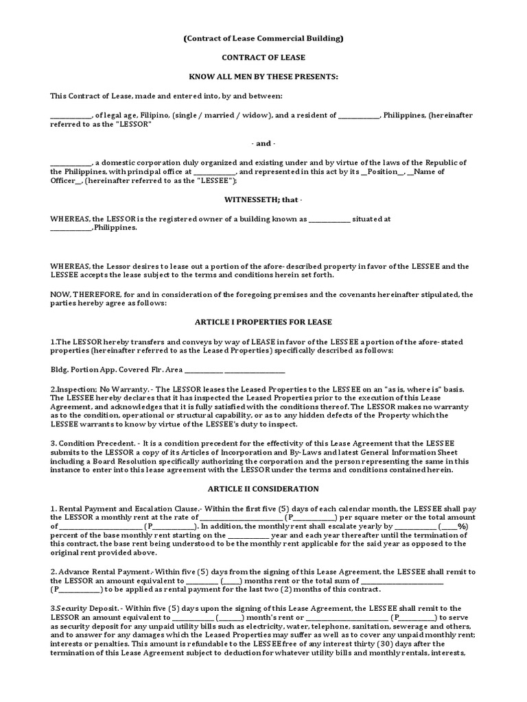
CONTRACT OF LEASE KNOW ALL MEN BY THESE PRESENTS This Contract of Lease made and entered into by and between _____, of legal age, Filipino, (single / married / widow), and a resident of _____, Philippines, (hereinafter referred to as the “LESSOR”);. The downloadable contract of lease sample provided below can be used as a legally binding contract of lease, regardless of the property type Download Lease Contract Tips to keep in mind Check your prospective tenants credit history Meet the applicants before signing a contract of lease Be thorough with documentation Check the property. CONTRACT OF LEASE KNOW ALL MEN BY THESE PRESENTS This CONTRACT OF LEASE made and entered into by and between;.
Philippines Residential Rental/Lease A Residential Lease Agreement is used when a Landlord wishes to rent or lease property to a Tenant for residential and possibly homebased business purposes For example, this form would be used to rent out an apartment or basement suite. (2) To make on the same during the lease all the necessary repairs in order to keep it suitable for the use to which it has been devoted, unless there is a stipulation to the contrary;. Word document, PDF Lease Agreement Free.
Compared to an Investment Contract, a lease contract may be simpler in content and layoutHowever, this should not result to the lack of understanding on why lease contracts are very important. Since the Philippine Legal Forms website states that all the Philippine legal forms and contracts they have are free to copy and revise for single use but not for republication in print or reproduction on other. 1 PERIOD OF LEASE The term of this lease shall be for a period of twelve moths commencing on April 8, 17 to April 8, 18 The LESSEE reserves the option to renew the lease for the succeeding years upon expiration of this original lease term, and under the same terms and condition set forth herein, provided the LESSEE gives the LESSOR written notice of his intention to renew at least sixty.
CONTRACT OF LEASE This AGREEMENT, made and entered on this _____ day of _____ 0_ in Quezon City, Metro Manila, by and between The PHILIPPINE NUCLEAR RESEARCH INSTITUTE, DOST, a Government agency under Republic Act 67 as amended and organized under EQ 128 dated January 30, 1987 represented by its Director, and referred to as the LESSOR. Ground Lease Agreement Sample Philippines The parties choose the above addresses as their physical addresses for the purpose of providing a notification, payment of any amount and legal action in connection with this property lease Each party can change the information about its physical addresses at any time, by written notification to the. SECURITY DEPOSIT and ADVANCE upon signing of the Contract of Lease, the LESSEE shall make a Three (3) months deposit and Three (3) month advance rental in the total amount of _____ (Php _____00) Philippine Currency for the full and faithful performance of each and every term, provision, covenant, and condition of this lease, except that said.
RENTAL RATE The monthly rental rate for the leased premises shall be in PESOS AMOUNT IN WORDS (P 00,), Philippine Currency All rental payments shall be payable to the LESSOR 4 DEPOSIT That the LESSEE shall remit to the LESSOR upon signing of this contract and prior to movein an amount equivalent to the rent of FOUR (4) MONTHS or. Please revise the terms and conditions contained on this RenttoOwn Contract to reflect the parties actual terms and conditions RENT TO OWN CONTRACT This Contract of Lease with Option to Purchase (RenttoOwn Contract) made and executed this ____of _____ ___ Manila, Philippines by and between. A commercial lease agreement is a formal document that serves as a contract between the tenant of the commercial space and the landlord or owner of the property If you want to create a commercial lease agreement, you can save a lot of time and effort if you will refer to the downloadable examples that we have listed in this post.
Philippines Notice of Termination by Landlord A Notice of Termination by Landlord is used when a lease on a Premises is reaching the end of its term and the Landlord does not wish to renew the lease The document outlines exactly when and under what conditions the termination of the lease will take place. In the last 5 years, residential tenancy in the Philippines has been under the wings of Republic Act (RA) No 9653, also known as the Rent Control Act of 09Signed on July 14, 09 by former president Gloria MacapagalArroyo, this act intends to establish “reforms in the regulation of rent in certain residential units, providing the mechanisms therefore and for other purposes”. SECURITY DEPOSIT and ADVANCE upon signing of the Contract of Lease, the LESSEE shall make a Three (3) months deposit and Three (3) month advance rental in the total amount of _____ (Php _____00) Philippine Currency for the full and faithful performance of each and every term, provision, covenant, and condition of this lease, except that said.
Authority to Sell / Lease;. SECURITY DEPOSIT and ADVANCE upon signing of the Contract of Lease, the LESSEE shall make a Three (3) months deposit and Three (3) month advance rental in the total amount of _____ (Php _____00) Philippine Currency for the full and faithful performance of each and every term, provision, covenant, and condition of this lease, except that said. Ground Lease Agreement Sample Philippines The parties choose the above addresses as their physical addresses for the purpose of providing a notification, payment of any amount and legal action in connection with this property lease Each party can change the information about its physical addresses at any time, by written notification to the.
COMMERCIAL LEASE AGREEMENT This Commercial Lease Agreement ("Lease") is made and effective Date, by and between Landlord ("Landlord") and Tenant ("Tenant") Landlord is the owner of land and improvements commonly known and numbered as Address of Building and legally described as follows (the "Building") Legal Description of Building Landlord makes available for lease a portion of. This Lease can only be changed by an agreement in writing by both the TENANT and the LANDLORD 32 SIGNATURES The LANDLORD and the TENANT agree to the terms of this Lease If this Lease is made by a corporation, its proper corporate officers sign and its corporate seal is affixed. Landlords can set rules on his condo unit He may limit the number of tenants under a lease contract or prohibit certain renovations A lease contract is typically prepared by the landlord to which the prospective tenant shall agree to In some instances, the tenant may request to amend stipulations and the landlord is free to accept and reject.
Philippines Lease Extension Agreement This document is used to extend the duration of a current lease between a landlord and tenant It can also include changes to rent payments and/or prorated rent payments for the extension period.

44 Simple Equipment Lease Agreement Templates ᐅ Templatelab

Doc Lease Contract Know All Men By These Presents Justin Refugio Academia Edu
Www Philhealth Gov Ph About Us Bidsnprojects 12 Regional Goodsandservices Pro11 um Contract Pdf
Lease Contract Sample Philippines のギャラリー

Sample Of Contract Of Lease alog Version Lease Agreement Free Printable Lease Agreement Landlord Rental Agreement Templates

Contract Of Lease 1
Sample Land Rental Lease Philippines
Pdf4pro Com Cdn Lease Contract Of An Apartment Or Pdf
Contract Of Lease Lisi Philippines Lease Social Institutions

Lease Contract
Www Dbp Ph Wp Content Uploads 18 08 Contract For Lease Of Parking Slots Pdf
Addendum To The Lease Contract Lease Virtue
Www Dswd Gov Ph Issuances Mcs Mc 06 014 Pdf
Billboard Lease Contract And Agreement Example In Doc Word Sample Contracts

Land Lease Agreement And Farm Land Lease Agreement
Www Dbp Ph Wp Content Uploads 18 08 Contract For Lease Of Parking Slots Pdf

Commercial Lease Contract What To Consider What To Include Owen Hodge Lawyers

Elegant 10 11 Leasing Contracts Sample Contract Template Contract Templates
Horse Lease Agreement In Doc And Pdf Sample Contracts

Contract Of Lease Pdf Lamudi
Contract Of Lease Sample Lease Justice
Www Philhealth Gov Ph About Us Bidsnprojects 12 Regional Goodsandservices Pro11 um Contract Pdf

44 Simple Equipment Lease Agreement Templates ᐅ Templatelab
Lease Of Rice Land Lease Common Law
Q Tbn And9gcsbx5jmn7kh D7vtu24 2c5ygbfjbbdprn5r5wkjrpk6erbrigo Usqp Cau

Free Office Space Lease Agreement Word Pdf Eforms

Land Lease Agreement And Farm Land Lease Agreement
Q Tbn And9gcrm Wkgo kiorc1trpdvop3ydc1ei7dnldf1osmri7tgpcqk7 Usqp Cau

Parking Space Lease Agreement Template Philippines Fill Online Printable Fillable Blank Pdffiller

Residential Rental Lease Philippines Legal Templates Agreements Contracts And Forms

Property Management Contract Sample Philippines Addictionary

Free Commercial Lease Agreement Organization To Organization Commercial Lease Lease Agreement Free Printable Lease Agreement Rental Agreement Templates
Www Tesda Gov Ph Uploads File Tesdaboardresolution 15 Br 15 14 Pdf
House Rental Contract Geraldine Galinato V2 Leasehold Estate Lease
Www Philhealth Gov Ph About Us Bidsnprojects 12 Regional Goodsandservices Pro11 um Contract Pdf

Notice Of Termination By Tenant Philippines Legal Templates Agreements Contracts And Forms

42 Free Rental Application Forms Lease Agreement Templates Free Template Downloads

Lease Contract

44 Simple Equipment Lease Agreement Templates ᐅ Templatelab
Edit Sample Equipment Lease Lease Indemnity

How To Write A Lease With Pictures Wikihow

Doc Sample Contract Of Lease Rheginald Estonactoc Academia Edu
Contract Of Lease Template Lease Renting

Free Sublease Agreement Free To Print Save Download
Http Www Flagstaff Az Gov Documentcenter View
Www Dbp Ph Wp Content Uploads 18 08 Contract For Lease Of Parking Slots Pdf

Notice Of Lease Violation India Legal Templates Agreements Contracts And Forms
Www Philhealth Gov Ph About Us Bidsnprojects 12 Headoffice Goodsandservices Lhio Makati Contract Pdf

Vehicle Lease Agreement Template Word Pdf

Simple House Rental Contract Sample Philippines Google Search In 21 Room Rental Agreement Rental Agreement Templates Lease Agreement
Contract Of Lease Hacienda Lease Common Law

44 Simple Equipment Lease Agreement Templates ᐅ Templatelab

Commercial Lease Agreement Sample Template
Www Tesda Gov Ph Uploads File Tesdaboardresolution 15 Br 15 14 Pdf
Www Tesda Gov Ph Uploads File Tesdaboardresolution 15 Br 15 14 Pdf
Http Www Peza Gov Ph Issuances Others Moa Cdc Pdf

Republic Act No 9653 Rent Control Act 09

Free 12 Lease Contract Templates In Pdf Ms Word Google Docs Pages
Contract Of Lease Sample Lease Renting
Www Philhealth Gov Ph About Us Bidsnprojects 12 Regional Goodsandservices Pro11 um Contract Pdf
Contract Of Lease Condominium Unit Lease Law Of Obligations
Contract Of Lease Commercial Stall Lease Property
Examples Hair Salon Booth Rental Agreement Sample Contracts

Lease Renewal Agreement Template Word Pdf

16 Lease Contract Examples Pdf Google Docs Examples

Rent To Own Contract Template Philippines Addictionary

44 Simple Equipment Lease Agreement Templates ᐅ Templatelab

Simple House Rental Contract Philippines House Rental Rental Agreement Templates Room Rental Agreement
Files Hudexchange Info Resources Documents Exampleresleasewithpurchaseoption Pdf
Parking Space Lease Agreement Docx Lease Law And Economics

Rent To Own Agreement Create A Free Lease To Own Lease Agreement

Vehicle Lease Agreement Template Free Download
Www Doe Gov Ph Sites Default Files Pdf Eicc Eicc Planning Conference Materials Lmb Foreshore Presentation Pdf
Amendment Of Lease Contract Lease Legal Documents

Free 8 Sample Memorandum Of Lease Agreement Templates In Pdf Ms Word
House Rental Contract Free To Print Doc And Pdf Sample Contracts

Simple One Page Lease Agreement Template Pdf Templates Jotform

6 Lease Contract Templates For Restaurant Cafe Bakery Pdf Doc Free Premium Templates

Lease Contract With Option To Buy Sample Philippines Vincegray14

Short Term Vacation Rental Lease Agreement Eforms

Free Parking Space Rental Lease Agreement Template Pdf Word Eforms

Contract Of Lease 1

Lease Amending Agreement Philippines Legal Templates Agreements Contracts And Forms
Www Dbp Ph Wp Content Uploads 18 08 Contract For Lease Of Parking Slots Pdf
Farm Lease Agreement Templates Form In Word And Pdf Sample Contracts

Free Parking Space Rental Lease Agreement Template Pdf Word Eforms
1
Contract Of Lease Commercial Building Lease Renting

Free 8 Sample Rent Agreement Forms In Pdf Ms Word

Residential Lease Agreement Sample Template
House Rental Contract Sample Philippines Toibesttimen S Blog
Pnri Dost Gov Ph Index Php Downloads Category 10 Radiation Protection Services Download 71 Survey Meter Contract Of Lease
Www Tesda Gov Ph Uploads File Tesdaboardresolution 15 Br 15 14 Pdf

Lease Purchase Contract Wikipedia

Simple House Rental Contract Philippines Templates In Pdf And Doc House Rental Rental Agreement Templates Room Rental Agreement
Www Philhealth Gov Ph About Us Bidsnprojects 12 Regional Goodsandservices Pro11 um Contract Pdf

Room Rental Agreement Form Create A Free Room Rental Agreement
Www Philhealth Gov Ph About Us Bidsnprojects 12 Headoffice Goodsandservices Lhio Makati Contract Pdf

Philippines Sublease Contract Templates At Allbusinesstemplates Com

Billboard Lease Contract Template For Word Document Hub

6 Commercial Lease Agreement Templates Fine Word Templates

Rental Contract Sample Business Form Letter Template
Www Dbm Gov Ph Wp Content Uploads Issuances 17 National budget circular National budget circular no 570 Pdf
Q Tbn And9gctci8gz7yyyozo7 Eeltifdxaw8hbjzmmsnso55jcak9kvrysvk Usqp Cau
Www Philhealth Gov Ph About Us Bidsnprojects 12 Regional Goodsandservices Pro11 um Contract Pdf