Displacement Time Wave Graph
X = Ka.
						 
					
Displacement time wave graph. A velocitytime graph is a graph between the time taken and the velocity acquired by the moving object during that time Here time taken is plotted along the xaxis and velocity acquired is plotted along the yaxis we know that displacement of an object is the product of velocity and time ie,\(d=v\times t\) In this article, we will explore how displacement can be calculated using the velocitytime graph. (a) Displacement distance graph of two sound waves nd B, travelling in a medium, are as shown in the diagram below asked Sep 8, 18 in Physics by PriyaBharti ( 537k points) icse. 17N1SLTZ012 The graph shows the variation with time t of the velocity v of an object undergoing simple 17N1HLTZ014 The diagram shows a second harmonic standing wave on a string fixed at both ends What is the 17N1HLTZ011 The graph shows the variation with position s of the displacement x of a wave undergoing simple.
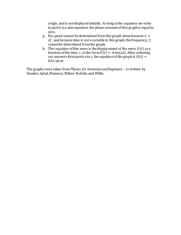
This equation of this wave is the displacement of the wave 𝐷(𝑡) as a function of the time, 𝑡, in the form 𝐷( 𝑡) = 𝐴 sin(𝜔𝑡) After collecting our answers from parts a to c, the equation of the graph is 𝐷( 𝑡) = 001 sin 𝜋𝑡 The graphs were taken from Physics for Scientists and Engineers 1e written by Hawkes, Iqbal, Mansour, MilnerBolotin, and Willia. Draw Displacementtime Graph of a Wave and Show on It the Amplitude and Time Period of Wave CISCE ICSE Class 9 Question Papers 10 Textbook Solutions Important Solutions 3 Question Bank Solutions Concept Notes & Videos 256 Syllabus Advertisement Remove all ads Draw Displacementtime Graph of a Wave and Show on It the. Displacement is a vector quantity imagehttp//ocwuciedu/cat/media/OC08//OC_L6Graphic06gifIf an object goes back to where is started in certain time, then its displacement is zero Its distance would be the total length of the journey A displacementtime graph is able to show if an object is going backwards or forwards.
DisplacementDistance Graph Crest highest point of a wave Trough lowest point of a wave Amplitude, A maximum distance from the rest or central position, in either direction SI Unit m Scalar quantity Wavelength, λ shortest distance between two consecutive crests or troughs of a wave or any two points that are in phase SI unit m. Displacementtime graphs Any point on such a graph has coordinates (t,s), in which s is the displacement after a time t Worked Example 1 Figure 1 shows the displacementtime graph for a tennis ball which is thrown vertically up in the air from a player’s hand and then falls to the ground. Practice using a displacement graph and wave speed to find the frequency and wavelength of a wave If you're seeing this message, it means we're having trouble loading external resources on our website.
The displacement time (x t) graph of a particle executing simple harmonic motion is shown in figure asked Nov 28, 18 in Physics by sonuk ( 445k points) simple harmonic motion. Simple Harmonic Motion Mass on a Spring Use this worksheet to make high quality graphs Many options are available including. Displacement Time Graph Displacement of an object is defined as how far the object is from its initial point In displacement time graph, displacement is dependent variable and is represented on the yaxis while time is the independent variable and is represented on the xaxis and is also known as position time graph.
(a) Sketch a displacementtime graph of a wave that has a time period of 5 ms and an amplitude of 2 cm (b) Calculate the frequency of this wave in Hz (c) Explain why it is not possible to discover the wavelength of the wave. At t = T/4 s, particle is at displacement = – A m;. 1 2 A transverse wave travels from left to right The diagram below shows how, at a particular instant of time, the displacement of particles in the medium varies with position Which arrow represents the direction of the velocity of the particle marked P?.
Displacementtime graph for freefall Here is the displacementtime graph for a freely falling object displacementtime graph for a freely falling object Here, the motion formula behind this graph is S = (1/2) g t2. The gradient of a displacementtime graph is velocity 2Velocitytimegraphs Any point on such a graph will have coordinates (t,v), in which v is the velocity after a time t WorkedExample2 Figure 2 shows the velocitytime graph for the motion of the tennis ball described in example 1 It was thrown into the air with a velocity of 7 m s−1. Or you can draw a displacement.
Transcribed Image Text 2 1 N 15 The graph shows the displacement of a wave as a function of position (the snapshot graph) at time t=O The vertical axis is displacement in cm and the horizontal axis is position in meters If the wave is travelling to the right at 172 m/s, what is the period of this wave, in seconds?. In a displacementtime graph, we can determine The displacement of the oscillating object at any time The amplitude The period Example Figure above shows a displacement versus time graph for a vibrating object Find the amplitude, period and frequency for the vibrating system. Simple Harmonic Motion Mass on a Spring Use this worksheet to make high quality graphs Many options are available including.
Waves Simple Harmonic Motion, Circular Motion, and Transverse Waves;. I) For a body executing free vibrations, the graph between displacement and the time is as shown belowii) The oscillations of a body, when set into vibrations by any external force, and then left to itself, executes free vibrationsFor example, a tuning fork when stuck with a hammer starts vibrating and it continues to vibrate for a while. The diagram below shows the displacementtime graph for a vibrating body (i) Name the type of vibrations produced by the vibrating body (ii) Give one example of a body producing such vibrations (iii) Why is the amplitude of the wave gradually decreasing ?.
Kinematics Graphs Adjust the Acceleration;. In this post, we learn to construct and/or interpret graphs of displacement as a function of time and as a function of the position of transverse and longitudinal waves, as a part of the Prelim Physics course under the module Waves and Thermodynamics and subpart Wave Properties. A distancetime graph shows how far an object has travelled in a given time It is a simple line graph that denotes distance versus time findings on the graph Distance is plotted on the Yaxis Time is plotted on the Xaxis Note Curved lines on a distancetime graph indicate that the speed is changing You may also want to check out these.
Question The Graph Below Shows The Displacement Of A Mass On A Spring Over Time Match The Correct Values To The Wave's Attributes *Note Not All Answers Will Be Used (displacement In Meters) (time In Seconds) The Amplitude Is The Periodis The Frequency Is Choose 15 5 105 067 Cm 080 M 10 M Unknown From The Information Given 067 16 H 080 Hz 080. 1) The displacementtime graph below shows a transverse wave Use the graph to determine the amplitude, period and frequency of this wave 2) The displacementtime graph below shows a transverse wave Use the graph to determine the amplitude, period and frequency of this wave 3) The displacementdistance graph below shows a transverse wave. Question The Graph Below Shows The Displacement Of A Mass On A Spring Over Time Match The Correct Values To The Wave's Attributes *Note Not All Answers Will Be Used (displacement In Meters) (time In Seconds) The Amplitude Is The Periodis The Frequency Is Choose 15 5 105 067 Cm 080 M 10 M Unknown From The Information Given 067 16 H 080 Hz 080.
At t = T/2 s, particle is at displacement = 0 m;. The variation with distance x along a wave of its displacement d at a particular time A second wave has the same frequency and speed as the wave shown in Fig 21 but has double the intensity The phase difference between the two waves is 180° I need to sketch the second wave on the graph, double intensity mean approx double amplitude but. DisplacementTime Graph is for an  individual particle  in the vibrating medium It shows the displacement of a particle from the rest position at a particular time At t = 0 s, particle is at displacement = 0 m;.
A displacementtime graph is able to show if an object is going backwards or forwards Usually, a line with a negative gradient would indicate motion going backwards This cannot be shown on a distancetime graph. Waves Simple Harmonic Motion, Circular Motion, and Transverse Waves;. Displacement is a function of distance and time for any wave regardless of whether the displacement is vertical (transverse) or horizontal (longitudinal) graphs of displacement versus position let us determine wavelength, graphs of displacement versus time let us determine period, T.
Once the wave reaches that location, the position oscillates up and down with time as the wave passes through After the wave pulse has passed through, the displacement returns to zero The graph at lower right represents a snap shot (a "photograph") of the wave at t=27 seconds The graph is blank for the first 26 seconds, then the graph. (iv) What will happen to the vibrations of the body after some time ?. Displacement Time Graph January 10, 21February 14, 13by Displacement – Time Graph In a DisplacementTime Graph, the gradient of the graph is equal to the velocity of motion Analysing Displacement – Time Graph When analysing the displacementtime graph, always remember that the gradient of the graph represents the velocity of the graph Therefore, if the gradient of the graph is positive, the velocity is positive, and if the gradient of the graph is negative, the velocity is.
Velocity = gradient of displacementtime graph = displacement ÷ time displacement = 0 m – 4 m = 4 m time = 8 s – 7 s = 1 s velocity = displacement ÷ time = 4 m ÷ 1 s = 4 m/s At C. The other way of thinking about is velocity is the change in position with respect to time, the change in a sine wave with respect to time is a cosine graph Acceleration vs time The acceleration verse time graph is the easiest of the graphs to make The simple harmonic motion is based on a relationship between position and acceleration;. Transcribed Image Text 2 1 N 15 The graph shows the displacement of a wave as a function of position (the snapshot graph) at time t=O The vertical axis is displacement in cm and the horizontal axis is position in meters If the wave is travelling to the right at 172 m/s, what is the period of this wave, in seconds?.
1D Kinematics Velocity vs Time Graph;. (a) Sketch a displacementtime graph of a wave that has a time period of 5 ms and an amplitude of 2 cm (b) Calculate the frequency of this wave in Hz (c) Explain why it is not possible to discover the wavelength of the wave. In this page, you would learn about the properties of wave motion as well as two types of graph namely displacement distance graph and displacement time graph to represent the wave motion Topics Theme 1 Measurement >.
Position, Velocity, and Acceleration vs Time Graphs;. Figure 2 represents a displacementtime graph for a wave (i) Determine the frequency of the wave (ii) Sketch on the same axes, the displacement time graph of a wave of the same frequency but #180^0# out of phase and with a smaller amplitude 5 The audible frequency range for a certain person is 30Hz and Hz. The displacementdistance graph of a progressive wave and the corresponding displacementtime graph of a particle on the same wave Change the wavelength, period or horizontal position of the particle to observe differences in the graphs.
Draw a displacement time graph of a wave and show on it the amplitude and wave length of waveit should Brainlyin Find an answer to your question draw a displacement time graph of a wave and show on it the amplitude and wave length of waveit should be in graph ruchitha4070 ruchitha4070. (Total 1 mark) 3 The graph shows how the displacement varies with time for an object undergoing simple harmonic motion. What are the difference between displacementdistance and displacementtime graph in waves?.
Students often confuse displacement/distance graphs (from which wavelength can be deduced) with displacement/time graphs (eg on an oscilloscope, from which frequency can be deduced) Lesson Summary Student Activity Drawing longitudinal waves (10 minutes) Discussion Extending the first activity (15 minutes). 1D Kinematics Velocity vs Time Graph;. Displacementdistance graphs A displacementdistance graph is also called a displacementposition graph It shows the displacement of the particles at various positions at a certain time Although it looks like a photograph of a transverse wave, it can be used to describe BOTH a transverse and a longitudinal wave (Figures 1a and 1 b) Fig 1a Displacementdistance graph of a transverse wave at t=0 Fig 1b.
Determining wave frequency from a graph Slideshare uses cookies to improve functionality and performance, and to provide you with relevant advertising If you continue browsing the site, you agree to the use of cookies on this website. Position, Velocity, and Acceleration vs Time Graphs;. Displacementtime graph for freefall Here is the displacementtime graph for a freely falling object displacementtime graph for a freely falling object Here, the motion formula behind this graph is S = (1/2) g t2.
Displacement/position vs time graph Velocity/speed vs time graph Vocabulary Sitemap To find velocity of something in a position vs time graph you need to find the slope which the first step is to pick two points but since in this case the question is asking you to find the velocity of when maria was going back to her apartment which. With a wave like y = A sin  k x you can see that the displacement (y) varies with distance (x) from some origin, but it does not vary with time The the displacementdistance graph would be a sine wave, while the displacementtime graph (for each value of x) is a horizontal line More generally you draw a displacement time graph for a particular value of distance x to see how the displacement of the particle associated with that point varies with time;. Displacement Distance Graph of Two Sound Waves a and B, Travelling in a Medium, Are as Shown in the Diagram Below Study the Two Sound Waves and Compare Their Amplitudes Wavelengths Physics Question By default show hide Solutions.
1D Kinematics Velocity vs Time Graph;. 17N1SLTZ012 The graph shows the variation with time t of the velocity v of an object undergoing simple 17N1HLTZ014 The diagram shows a second harmonic standing wave on a string fixed at both ends What is the 17N1HLTZ011 The graph shows the variation with position s of the displacement x of a wave undergoing simple. Holding t constant Displacement y vs Position x This graph shows the displacement of the entire wave at a particular time \(t\), hence the name "Snapshot" The graph serves as an apt visual representation of a transverse wave Although it does not visually represent the form of a longitudinal wave, the graph is correct for both kinds of wave.
Amplitude as particle displacement ξ = p / (2 π × Z) Ampliude as sound pressure p = ξ ×2 π × Z = v × Z Specific acoustic impedance of air at °C is Z = 413 N·s/m 3 Speed of sound of air at °C is c = 343 m/s "Distance = velocity × time" is the key to the basic wave relationship. Waves Simple Harmonic Motion, Circular Motion, and Transverse Waves;. Kinematics Graphs Adjust the Acceleration;.
Position, Velocity, and Acceleration vs Time Graphs;. Determining wave frequency from a graph Slideshare uses cookies to improve functionality and performance, and to provide you with relevant advertising If you continue browsing the site, you agree to the use of cookies on this website. A displacementtime graph shows how the displacement of one point on the wave varies over time You should be able to work out the frequency of a wave from a displacementtime graph – remember the.
(iv) What will happen to the vibrations of the body after some time ?. For harmonic waves, these displacementvstime graphs represent harmonic oscillation It should be noted that like the spatial graph, the time graph is a cosine (or sine) function, and this can lead to confusion, as it "looks like" a wave What links these two graphs is the motion of the wave. Once the wave reaches that location, the position oscillates up and down with time as the wave passes through After the wave pulse has passed through, the displacement returns to zero The graph at lower right represents a snap shot (a "photograph") of the wave at t=27 seconds The graph is blank for the first 26 seconds, then the graph.
Figure 2 represents a displacementtime graph for a wave (i) Determine the frequency of the wave (ii) Sketch on the same axes, the displacement time graph of a wave of the same frequency but #180^0# out of phase and with a smaller amplitude 5 The audible frequency range for a certain person is 30Hz and Hz. What are the features of a graph of displacement as a function of time?. (iv) What will happen to the vibrations of the body after some time ?.
The diagram below shows the displacementtime graph for a vibrating body (i) Name the type of vibrations produced by the vibrating body (ii) Give one example of a body producing such vibrations (iii) Why is the amplitude of the wave gradually decreasing ?. Kinematics Graphs Adjust the Acceleration;. Wave Graphs (DisplacementDistance and DisplacementTime) & Equation (v = f λ).
1) The displacementtime graph below shows a transverse wave Use the graph to determine the amplitude, period and frequency of this wave 2) The displacementtime graph below shows a transverse wave Use the graph to determine the amplitude, period and frequency of this wave 3) The displacementdistance graph below shows a transverse wave. The displacementdistance graph of a progressive wave and the corresponding displacementtime graph of a particle on the same wave Change the wavelength, period or horizontal position of the particle to observe differences in the graphs. Students often confuse displacement/distance graphs (from which wavelength can be deduced) with displacement/time graphs (eg on an oscilloscope, from which frequency can be deduced) Lesson Summary Student Activity Drawing longitudinal waves (10 minutes) Discussion Extending the first activity (15 minutes).
The diagram below shows the displacementtime graph for a vibrating body (i) Name the type of vibrations produced by the vibrating body (ii) Give one example of a body producing such vibrations (iii) Why is the amplitude of the wave gradually decreasing ?.
 
							Physics Reference Physics 9702 Doubts Help Page 14
 
							Physics Reference Physics 9702 Doubts Help Page 238
 
							A Simple Harmonic Plane Wave Propagatees Along X Axis In A Medium
Displacement Time Wave Graph のギャラリー
 
						Graphs For Sound Wave Excel Physics
 
						Displacement Time Graph Problem Youtube
 
						Physics Reference The Graph Shows The Variation With Time Of The Displacement X Of A Gas Molecule As A Continuous Sound Wave Passes Through A Gas
 
						Sound 101 Mr Thou
 
						Snapshot And History Graph Of Wave Physics Stack Exchange
 
						Representing Waves Online Presentation
 
						A Displacement Versus Time Graph Of The Periodic Motion Of A 3 4 Kg Mass On A Spring Is Shown In The Figure A Determine The Period Of Motion B Determine The Amplitude Of Motion
 
						A Displacement Versus Time Graph For A Wave Form Is Shown In Fig 6 21 What Are The A Amplitude And B Frequency Of The Wave Bartleby
 
						Displacement Distance Versus Displacement Time Graphs Learning Object
 
						Transverse Waves
 
						16 2 Mathematics Of Waves University Physics Volume 1
 
						Bmat Physics Notes Waves
 
						25 The Displacement Time Graphs For Two Sound Waves A And B Are Shown In The
Q Tbn And9gcspt9 Fyuddhtzlm08biwm9pr0w7 Oyjrpysl1blhmaj3ko7fy Usqp Cau
 
						Physics Reference A Displacement Time Graph Is Shown For A Particular Wave A Second Wave Of Similar Type Has Twice The Intensity And Half The Frequency
 
						Question Video Calculating The Frequency Of A Wave From Its Speed And Displacement Distance Graph
 
						Waves Basic Terms Graphical Representation Iopspark
 
						Solved Below Is A Graph Of A Displacement Time Wave For A Chegg Com
 
						Physics Reference The Graph Shows The Variation With Time Of The Displacement X Of A Gas Molecule As A Continuous Sound Wave Passes Through A Gas
 
						The Displacement Vs Time Graph For Two Waves A And B Which Travel Along The Same String Arre Sho Youtube
 
						Wave Graph 10 Free Hq Online Puzzle Games On Newcastlebeach
 
						Traveling Waves Ib Physics Stuff
 
						Physics Reference A Transverse Wave Travels Along A Rope The Graph Shows The Variation Of The Displacement Of The Particles In The Rope With Distance Along It At A Particular Instant
 
						Solved A One Dimensional Wave Is Travelling Along The X A Chegg Com
 
						The Open Door Web Site Ib Physics Graphs Describing Simple Harmonic Oscillations
 
						Transverse Wave Convert To Displacement Time Graph Evan S Space
 
						Img Src D10lpgp6xz60nq Cloudfront Net Physics Images z
 
						The Open Door Web Site Ib Physics Waves Graphs Representing Waves
 
						Displacement Time Graph Evan S Space
 
						Displacement Time Graph Spm Physics Form 4 Form 5 Revision Notes
 
						Displacement Time Graph And Displacement Distance Graph For A Wave F5 C1 L03 Youtube
 
						Wave Displacement Time Graph Of A Particle On A Wave Evan S Space
 
						Waves V Lf Velocity Of A Wave Graphs Displacement Distance Displacement Time Ib Physics Youtube
A Wave Has Amplitude Equal To 8 Cm And The Wavelength Of 2 M The Frequency Of The Wave Is 150 Hz I Draw The Graph Of The Wave Representing Displacemen
 
						A Figure 12 Shows A Displacement Time Graph For A Progressive Wave I State The Amplitude Of Tutorke
 
						Basic Concepts On Displacement Position And Displacement Time Graph Physics And Mathematics Learn Physics Physics Concepts
Lesson Worksheet Modeling One Dimensional Waves Nagwa
 
						Physics Notes For High School Damping And Resonance Of Waves
 
						Draw Displacement Time Graph Of A Wave And Show On It The Amplitude And Time Period Of A Wave Physics Topperlearning Com Clhp6zdd
 
						Physics Reference Physics 9702 Doubts Help Page 224
 
						How Is The Displacement Time Graph And Velocity Time Graph Of A Uniform Circular Motion Quora
 
						Particle Displacement Vs Time Graph Of Sound How Can This Happen Physics Science Forums
 
						Waves Worksheet Pdf
 
						Wave Displacement Time Graph Of A Particle On A Wave Evan S Space
 
						Physicslab June 11 Part 2
 
						Plot The Following A Longitudinal Wave In Air On A Density Distance Graph A Transverse Wave On A Displacement Distance Graph Cbse Class 9 Science Learn Cbse Forum
 
						Physics Form 4 Form5 Displacement Time Graph And Displacement Distance Graph For A Wave
 
						Waves Basic Terms Graphical Representation Iopspark
 
						S4 E Phy Waves Tranverse T
 
						Solved Below Are Two Graphs That Represent A Harmonic Tra Chegg Com
 
						Graphs For Sound Wave Excel Physics
 
						Properties Of Wave Motion Excel Physics Motion Physics Physics Formulas Physics Experiments
 
						Electricity Detailed Contents
Calculating Frequency And Wavelength From Displacement Graphs Practice Khan Academy
 
						Displacement Distance Versus Displacement Time Graphs Learning Object
 
						Displacement Time Graph Spm Physics Form 4 Form 5 Revision Notes
 
						Answered A Displacement Versus Time Graph For A Bartleby
 
						Draw Displacement Time Graph Of A Wave And Show On It The Amplitude And Time Period Of Wave Physics Shaalaa Com
 
						Traveling Waves Ib Physics Stuff
 
						Properties Of Wave Motion Excel Physics
 
						Difference Between Displacement Distance And Displacement Time Graph In Waves Youtube
 
						Graphs For Sound Wave Excel Physics
 
						16 2 Mathematics Of Waves University Physics Volume 1
 
						Displacement Distance Graph Spm Physics Form 4 Form 5 Revision Notes
 
						Displacement Time Graph Spm Physics Form 4 Form 5 Revision Notes
 
						Draw A Displacement Time Graph Of A Wave And Show On It The Amplitude And Wave Length Of Waveit Should Brainly In
 
						Displacement Distance Versus Displacement Time Graphs Learning Object
 
						12b 03 Graphing Longitudinal Waves Youtube
 
						Displacement Distance Graph Spm Physics Form 4 Form 5 Revision Notes
 
						17purephyp2q5 Two Points On The Rope Wave With Displacement Time Graphs Given Evan S Space
 
						Figure 12 Shows A Displacement Time Graph For A Progressive Wave
 
						Waves Mr Thou
 
						Velocity Acceleration And Distance Traveled For Points On Wave Youtube
 
						Wave Graphs Calculations Amplitude Wavelength Frequency Time Period Duration Wave Velocity Speed Cycles Vibration Parameter Distance Time Sengpielaudio Sengpiel Berlin
 
						Wave Displacement Time Graph Of A Particle On A Wave Evan S Space
Q Tbn And9gcsijedjjjk0tkwds35qz7ydd5mn66uxl3g1kkzrrjtrjmxwev2a Usqp Cau
 
						Draw Displacement Time Graph Of A Wave And Mark On It The Amplitude Of The Way By The Letter A And The Brainly In
 
						17purephyp2q5 Two Points On The Rope Wave With Displacement Time Graphs Given Evan S Space
 
						Solved A Displacement Versus Time Graph For A Wave Form Is Sho Chegg Com
 
						The Figure Below Represents A Displacement Time Graph For A Wave Determine The Frequency Of The Wave
 
						Displacement Distance Versus Displacement Time Graphs Learning Object
 
						4 2 Travelling Waves 2 Ibdp Physics
 
						A Figure 12 Shows A Displacement Time Graph For A Progressive Wave I State The Amplitude Of Tutorke
Q Tbn And9gctsygkrf5ky 0irkdcu1f6nixmliytec4sbd Vynsvbnk9p9bcg Usqp Cau
 
						Solved The Displacement Time Graph And Displacement Dista Chegg Com
Q Tbn And9gctq 2drvitzsbkvucqnl2iais7jeaudtplwozpkwmdgbfuvc3i0 Usqp Cau
 
						Topic 4 Oscillations And Waves Anrosphysics
Displacement Distance Graph Of Two Sound Waves A And B Travelling In A Medium Are As Shown In The Diagram Below Sarthaks Econnect Largest Online Education Community
 
						Waves Superposition And Standing Waves The Electromagnetic Spectrum Pulse Echo Techniques Refraction Polarisation Diffraction Ppt Download
 
						Progressive Waves Displacement Amplitude Frequency Wavelength
 
						Displacement Distance Graph Spm Physics Form 4 Form 5 Revision Notes
 
						How To Identify Compression And Rarefaction In A Displacement Time Graph Youtube
 
						4 1 Harmonic Motion Questions 0 5 What Is X 1 What Is The Amplitude 2 What Is The Period 3 What Is The Frequency 4 What Is The Angular Frequency 5 If You Have X 2cos 8t What Is The Amplitude Angular Frequency Frequency And Period
 
						The Displacement Time Graph For Two Sound Waves A And B Are Shown In The Figure Then The Ratio Of Youtube
 
						Mj P11 Q23 Electromagnetic Wave Displacement Time Graph Cie A Level 9702 Physics Youtube
 
						Properties Of Wave Motion Excel Physics
 
						Cyberphysics Waves
 
						Waves Mr Thou
 
						Wave Displacement Definition Formula Video Lesson Transcript Study Com
 
						Physics Reference A Displacement Time Graph Is Shown For A Particular Wave A Second Wave Of Similar Type Has Twice The Intensity And Half The Frequency
 
						Displacement Distance Versus Displacement Time Graphs Learning Object

 
        
